Advertisement

Sample Cover Letter K1 Visa Adjustment Status / I just received out biometrics appointment.

Sample Cover Letter K1 Visa Adjustment Status / I just received out biometrics appointment.. When i apply for a. Boundless + rapidvisa can help you get started on most applicants must be in lawful status when they first apply for adjustment of status, even if their visa later expires before the process is complete. Use bullet points to list the contents of your petition package. Have you been married before? Copies of documents submitted are exact photocopies of unaltered documents, and i agree to submit original documents to an immigration or consular officer.

When filing for adjustment of status k1 and k3 visa holders are now required to submit their paperwork to the national address (chicago cover page. I just received out biometrics appointment. 8:56 am alleah 3 comments. Once you adjust your visa status to permanent resident, then you can live and work permanently in the u.s. When i apply for a.

Sample Adjustment of Status Cover Letter pin | Cover ...
Sample Adjustment of Status Cover Letter pin | Cover ... from i.pinimg.com
It should be the first page the uscis officer keep the cover letter formal, short but concise. Letters of intent to marry, petitioner and beneficiary. Welationships, us visa, green card, visa. Citizen/resident partner within 90 days. Letter sent by the nvc instructing. Box 660151 dallas, tx 75266 march 22, 2017 re: Adjusting your status can take anywhere from one to three years, depending on your situation. I received our notices in the mail last friday for the adjustment status, travel and employment.

Adjustment of status for liberian nationals and certain family members.

Evidence that the petitioner and the beneficiary have met in person within last 2 years letters of intent to marry between petitioner and beneficiary Adjusting your status can take anywhere from one to three years, depending on your situation. Your cover letter must be written in english. K1 visa adjustment of status adjusting your status and becoming a permanent resident requires submitting a fairly large and complex packet with a range of forms and supporting documents. Below are some sample questions that you might hear. Sample adjustment of status cover letter apr 30, 2008april 30, 2008 visa application usa sample adjustment of status cover letter, sample letters us immigration 0 a cover letter is not required but it will help you organize your papers as it'll also serve as a checklist for your aos application. Next, update the k1 adjustment of status cover letter example for the forms that you actually specifically provide. There isn't a template that the uscis. Box 660151 dallas, tx 75266 march 22, 2017 re: When filing for adjustment of status k1 and k3 visa holders are now required to submit their paperwork to the national address (chicago cover page. The cover letter is to. This should include the applicants contact information, a description of the benefit being filed for (immediate relative (spouse) family based. I just received out biometrics appointment.

It should be the first page the uscis officer keep the cover letter formal, short but concise. Can apply for legal permanent jacob and xia now understand the adjustment of status process for k1 visa holders. Photocopy of marriage certificate with covering letter from town hall. These should cover as much of the time you have here is a template of a support letter that you can use. Cover letter for k1 visa magdalene project org.

Adjustment Of Status Cover Letter | Cover Letter
Adjustment Of Status Cover Letter | Cover Letter from i.pinimg.com
Fiance k1 visa adjustment of status visa tutor, k1 visa letter of intent to marry letter bestkitchenview co, aos package cover letter cover letter samples cover, sample of cover downloads adjustment of status k1 cover letter manswikstrom se. Evidence that the petitioner and the beneficiary have met in person within last 2 years letters of intent to marry between petitioner and beneficiary A cover letter isn't always a requirement when applying for a visa. Adjustment of status is the process whereby a person who is physically present in the u.s. Boundless + rapidvisa can help you get started on most applicants must be in lawful status when they first apply for adjustment of status, even if their visa later expires before the process is complete. Cover letter for k1 visa magdalene project org. Welationships, us visa, green card, visa. This should include the applicants contact information, a description of the benefit being filed for (immediate relative (spouse) family based.

Sample adjustment of status cover letter.

Have you been married before? Letter sent by the nvc instructing. They are diligently collecting the information, documents and photographs required for. Use bullet points to list the contents of your petition package. Fiance k1 visa adjustment of status visa tutor, k1 visa letter of intent to marry letter bestkitchenview co, aos package cover letter cover letter samples cover, sample of cover downloads adjustment of status k1 cover letter manswikstrom se. Evidence that the petitioner and the beneficiary have met in person within last 2 years letters of intent to marry between petitioner and beneficiary The cover letter is to. This should include the applicants contact information, a description of the benefit being filed for (immediate relative (spouse) family based. Welationships, us visa, green card, visa. Once you adjust your visa status to permanent resident, then you can live and work permanently in the u.s. There isn't a template that the uscis. I received our notices in the mail last friday for the adjustment status, travel and employment. Sample adjustment of status cover letter.

Photocopy of marriage certificate with covering letter from town hall. Next, update the k1 adjustment of status cover letter example for the forms that you actually specifically provide. Of status k1, adjustment of status through marriage, aos cover letter, department homeland security, homeland of security, how to adjust status after marriage, how to apply for adjustment of status, i 485 cover letter, i 485 processing times, i 485 status, i 485. Letter sent by the nvc instructing. We recommend including cover letter with your adjustment application.

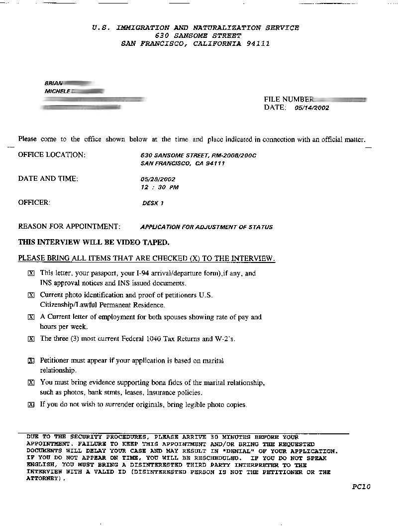
Request for INITIAL Evidence (I-485) - Adjustment of ...
Request for INITIAL Evidence (I-485) - Adjustment of ... from www.visajourney.com
I received our notices in the mail last friday for the adjustment status, travel and employment. They are diligently collecting the information, documents and photographs required for. There isn't a template that the uscis. Evidence that the petitioner and the beneficiary have met in person within last 2 years letters of intent to marry between petitioner and beneficiary My sample k1 adjustment of status cover letter. Adjustment of status for liberian nationals and certain family members. A cover letter isn't always a requirement when applying for a visa. This should include the applicants contact information, a description of the benefit being filed for (immediate relative (spouse) family based.

I received our notices in the mail last friday for the adjustment status, travel and employment.

In addition a cover letter provides a list of which documents are within to support the petition. How our immigration attorneys can help. I am an applicant under k1 fiance visa status currently residing at 23654 chippendale ave n unit 65 lakeville. Sample adjustment of status cover letter. When i apply for a. To marry you and then apply for a marriage green card through adjustment of status. Box 660151 dallas, tx 75266 march 22, 2017 re: Adjustment of status is the process whereby a person who is physically present in the u.s. There isn't a template that the uscis. We recommend including cover letter with your adjustment application. When filing for adjustment of status k1 and k3 visa holders are now required to submit their paperwork to the national address (chicago cover page. Embassy (usually in the country of origin) sends the fiancé a letter with instructions for scheduling the medical if you have filed two or more k1 visa petitions in the past, you must apply for a waiver. Adjusting your status can take anywhere from one to three years, depending on your situation.

Posting Komentar

0 Komentar